您好!欢迎进入重庆市诚铭精密仪器仪表有限公司官网。

重庆市诚铭精密仪器仪表有限公司

Chongqing Chengming Precision Instruments Co., Ltd.

      全国咨询热线

023-68861290

公司动态

Company dynamics

详细内容

温度仪表发展现状及应用案例

      温度传感器是最早开发、应用最广的一类传感器。在20世纪和本世纪工业化进程中,温度测量仪表在电力、石油化工产业的应用中也随着超临界、超超临界热电厂,大炼油,大化肥及石油大化工等新项目的应用而不断发展。

图片

      随着可持续性发展的战略方针逐渐在国家立项审批过程中越来越被注重,更多的国外先进技术被引入和吸收,如异丁烷脱氢、丙烷脱氢的UOP 工艺包,煤制天然气的甲烷化DAVY 工艺包,托普索合成氨、施拉姆大化肥的工艺包等。众多先进工艺引进的同时,国内化工技术也取得了突破性的进展,特别是在煤化工领域的气化工段,各家博采众长,根据国内各地煤质不同相继研发出航天炉、清华炉、五环炉、鲁西炉、中科院气化炉等,随着工艺技术的提升,也使得温度仪表的技术要求与制造规范展现给国内温度仪表厂商一个全新的面貌。传统的温度仪表设计理念受到震撼,简单落后的产品选型受到冲击。目前的现状是,很多高端的温度仪表技术掌握在国外同行中,特别是温度变送器国内的需求市场几乎被独霸,导致国内的生产厂商只能在温度传感器的常规产品上争抢比拼。“尽快学习国外的先进技术,提升国内温度仪表生产的整体水平”是摆在每一个企望提升自身,强大中国温度仪表民族水平的企业家面前的愿望与使命。



      近年来国内温度仪表厂商也在不断地调整自身企业,许多厂家新置或扩建了新的厂房,购置了新的设备,厂容厂貌也焕然一新,在产品制造上基本淘汰了装配式元件,采用了铠装式元件,温度传感器套管从普遍使用的无缝钢管到现在采用的钢棒单端整体钻孔套管。


      由于温度传感器套管质量的提高使得温度传感器保证了长周期运行,在线可以更换检测元件,可以说在常规产品的工艺及加工流程上与国外同类产品相差无几。但在特殊产品上和加工细节及零配件上还是有一些差距,国内厂商也在不断地改进这种状况。只是在产品价格、供货周期及服务上,国内厂家占有明显的优势了。许多企业通过摸索和自身的努力使企业都在不同的领域找到了自己的定位,以在某一领域所拥有的独门绝技或专攻某一行业而使企业得以发展。通过实践总结出,温度仪表行业不是靠“大而全”,而是靠“专精特”来发展的。还有许多企业为国外知名公司做OEM,或出口配套,国内企业越来越重视技术的创新工作,每年温度行业企业申报的专利就达几十项,体现了各企业对知识产权的重视。由于该行业的特殊性,许多加工设备都是非标的,因此基本设备都是企业自己研发制造。各企业的技术基础和加工能力的不同,导致所制造的专用设备也存有很大的差异。幸好有同行企业在制造出售一些专用设备,为行业水平的提升做出了贡献,行业目前在有些方面也面临着许多问题和需要完善的地方,例如专门从事温度仪表的技术人员不好找,以前有专科的仪表学校和国企仪表企业专门培训技术人员现在国企基本都转制减员了,除个别还具有一些规模外,其他企业当年的辉煌已不复存在。对于民营企业的快速崛起面临着技术人员匮乏也是当前各企业的实际问题,部分企业过分重视市场的销售工作,忽略了产品的研发和提升产品性能的测试工作,能够具备企业自己做产品全性能试验的厂家还为数不多,企业也缺少熟悉和掌握产品全性能试验的技术人员。温度仪表专业协会也在积极的针对目前行业所存在的共性问题列入协会的工作日程当中,相信在同业共同努力下,国内温度仪表企业在开拓了高精尖温度市场的同时,需求催生压力,压力产生动力,动力促进发展,中国的温度仪表领域毕竟会加快追赶甚至赶超国外技术的步伐。

温度仪表在各类应用场合举例

      主动学习、不断进取是中华民族的优良传统。在国外工艺包引进的同时,先进的温度仪表技术的学习平台也随之搭建,国内温度企业如饥似渴地汲取着丰富的养分。如用于GE气化炉的高温热电偶、用于石化的刀刃热电偶、用于核工业中的铠装热电偶、用于LNG储罐中的温度变送器等等。下面,以几个应用现场为例,说明各企业对不同工况的理解和相应的产品设计制造方案与应用。

图片


1.1 煤化工行业中GE气化炉

1.1.1 工况特点

      GE气化炉具有高温、高压、氧化性和还原性气氛共存、强冲刷、温度压力骤变的特殊工况。燃烧室操作温度为1350℃~1500℃,操作压力2.5~8.7MPa。焰气含有CO、H2、CO2、H2O、CH4、Ar、N2及H2S等组分;煤灰熔点为1310℃~1370℃。燃烧室壳体与内衬耐火砖因受热膨胀系数不同,易发生相互剪切。最关键的是,因气化炉内冲刷磨损极为严重,所以温度计的测点必须位于距炉墙内壁15~25mm处。但是炉壁在砌制过程中难以保证均匀一致,而正因炉内冲刷和磨损的存在,炉壁在生产进程中会发生不可避免的逐渐减薄的变化。

1.1.2 对温度计的性能要求

      由于上述的特殊工况,要求测温传感器必须具备的性能包括:能承受达1600℃的高温和8.7MPa的高压;能同时抵抗氧化性和还原性气氛的双重腐蚀;具有可调整的插入长度和可随动的结构,当内衬发生厚度变化和扭曲剪切时,能进行相应的结构变化。

1.1.3 解决方案

      针对这些要求,由天津某仪表公司研制的“气化炉可调防振热电偶”通过特殊的材料选用和结构设计,满足了气化炉工况对温度传感器的苛刻要求,是一种可调防振、耐冲刷、抗氧化、多级阻漏的气化炉专利产品。

      首先,热电偶的主体结构采用可调防振的设计理念,其突出特征是当气化炉炉壁衬里厚度发生变化时,热电偶可通过伸缩结构±100mm范围内进行调节,以实现测量元件始终保持在最佳位置。当炉壳和内衬发生剪切时,利用万向转球可使探头随倾斜而进行旋转,并在限位管和减振弹簧的作用下,使振动得以缓解,避免了热电偶在炉墙发生变形时,产生应力剪切造成折断。具有多级阻漏的结构设计,如果热电偶套管发生损坏,可防止炉内气体通过套管与大气对流,致使炉内高温传导甚至泄漏而发生的安全隐患,体现安全意识和环保理念。

      其次,保护管材料采用通过无压烧结亚微米碳化硅粉末制造的进口碳化硅材料,该材料具有陶瓷和金属的双重特性,即使在超过1750℃高温时,仍能可靠的使用,但其热导性与不锈钢相当,是氧化铝的5倍;其硬度是仅次于金刚石的最硬的高性能材料之一;小于10μm的超细结晶,经氦气检漏测试,其气孔率几乎为0,可有效阻止H2和CO通过管壁上的气孔对热电偶丝造成损坏;超高的硬度和密度,使其具有理想的耐磨损性能,能长期抵抗物料的冲刷,即使在超高温度下也能工作于氧化性和还原性气氛,以及强酸强碱的腐蚀性环境中。

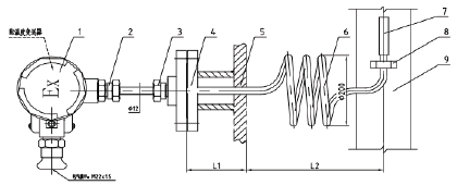
1.2 石油炼油化工行业的刀刃式热电偶

1)在石油炼油工业中,加热炉、常压塔、催化裂化装置、分馏塔、加氢装置是燃料加工方案中不可缺少的设备,为保证装置的安全运行和化学反应的顺利进行,各种参数控制必不可少,这里简单介绍一下加热炉炉壁温度测量的实现。

2)刀刃式表面热电偶用于对加热炉炉壁,炉管表面温度测量。其测温过程是刀刃测量端通过热电偶定位卡将刀刃焊接在炉壁、炉管部位上,炉壁、炉管温度通过刀刃头传热到热电偶丝,偶丝将感受到的温度转换成热电势信号,再传送到仪表系统,实现温度显示、控制。

3)我国的中石油、中石化及其他化工、油类储存企业,对刀刃式表面热电偶需求量大。由于被测温物体与本热电偶的刀刃头的刀刃焊接存在“特殊性”,而传统的刀刃头是直接利用本热电偶铠装元件管磨削而成。

因铠装管管壁薄,磨削后焊接时易焊穿,容易造成整支热电偶报废。为攻克这一难关,经过创新改变结构,专门另配刀刃头再将它与热电偶铠装管组装焊接。结果,方便了用户焊接,增加了牢固性,也不会损伤热电偶。

4)主要性能

① 特性:耐高温,耐氧化,耐腐蚀,测温准确、迅速,自适应热膨胀。

② 正常使用温度:0℃~1200℃,最高使用温度为1300℃。

③ 允差

④ 设计寿命:5年。

⑤ 结构

图片

1.隔爆接线盒;2.卡套螺纹;3.卡套法兰;4.配对法兰;5.炉墙;6.热电偶;7.刀刃头;8.固定卡;9.炉管。


1.3 核辐照环境中的铠装热电偶

K型(镍铬-镍铝)铠装热电偶可以在核电站核辐照环境中使用,铠装热电偶安装在安全壳内,测量端部分插在反应堆压力壳内,快速插拔连接器在压力壳外,核岛一旦运行,整套装置是不能有人靠近检修的,所以可靠性在核电厂至关重要。

1)在高温气冷堆中,多点式铠装热电偶从压力壳穿出,采用贯穿件结构,较好地实现了穿越密封问题

领昆® 1.保护管;2.贯穿简体;3.中间过渡管;4.铠装热电偶;5.过渡管;6.连接管。

图片

2)快速插拔连接器是为了在故障时维修人员能够在最短时间内进行检修,但连接器接触不良故障时有发生,除选用最好品牌的产品外,还应对增加插针冗余和防护外壳,以提高可靠性。

1.4 温度传感器在环保领域,特别在“固定污染源连续监测系统CEMS2000B”中的应用

      为了监督存在污染物排放单位的排放指标,安装固定污染源连续监测系统CEMS2000B,一方面便于对当前排放指标的了解和控制,另一方面通过互联网便于环保部门的监督。该系统采用全热法的原理,对温度要求特别高,因此对其中的温度传感器Pt100的安全性和准确性非常重要。

      杭州某公司生产的CEMS2000B分为(0℃~250℃)和(0℃~650℃),高温主要用于脱硝工艺的温度监测。该温度传感器性能稳定,大量节约了售后服务费用,提高了产品信誉。

两个温度范围的测量系统,前述为0℃~250℃;0℃~650℃于2012年底用该公司成功研制和生产的“零温漂”高精度智能一体化温度变送器得到彻底解决。

1.5 温度传感器在制药领域,特别在隧道烘箱及灭菌柜等设备上的应用

      最典型的是用在丽珠集团丽珠制药厂隧道烘箱上的应用。第一,工作温度高,350℃左右能长期工作,准确度有保障;第二,不污染环境;第三,电缆经得起弯直的经常性的高温环境下的升降变化不坏。

      灭菌的温场测试及穿透测试,它的工作环境非常恶劣,有蒸汽,不使用金属的铠装方式。关键的问题是解决密封问题和元件的可靠性和准确性问题。

1.6 温度仪表在天然气LNG中游储运设备上的解决方案

      LNG储罐是终端站中的关键设备,其绝热性及密封性的好坏直接影响到LNG的蒸发和泄漏速度,即LNG的损耗速度和使用率。作为低温容器,LNG储罐必须满足国家及行业标准中的相关技术要求,温度测量尤为重要,以下介绍多通道温度变送器和多点热电阻在LNG储罐上的测量解决方案。

图片

1)高密度温度变送器和多点热电阻在LNG储罐上的应用。

① 关键点

·低温,热应力。

·冷却检测,泄漏检测。

·温度元件要求寿命长。

·测点密集。

② 挑战

·温度低,-162°C。

·预冷容易产生很大的应力,会引发断裂及应力腐蚀。

·罐高30m,要求传感器铠装长度几十米到上百米。

·热电阻无法更换,需要热电阻精度高、稳定、寿命长。

·测点密集。

③ 应用解决方案

      采用双支多点热电阻进行温度测量,测点分布于内罐底板、内罐外壁、内罐顶外壁、外罐底内壁,用于监测进料预冷进程、环隙底、环隙壁处的热电阻担任泄漏检测任务。绕线式热电阻元件最低温度可测到-196°C,元件的应力释放设计能有效缓解由于温度巨大变化而产生的应力,热电阻更加结实,不易断裂,

      寿命长,同时提供了双支元件硬件冗余,进一步提高多点热电阻的寿命。可拆卸的安装组件更好地保护热电阻元件,免于使用前的损坏。多点热电阻接入安装于罐顶的高密度温度变送器,将温度信号通过FF总线方式接入DCS。

      高密度温度变送器与多点热电阻提供精确、可靠的温度测量,保护罐体材料免受应力损坏,使预冷过程顺利进行,并且严密监测泄漏。

图片

2)温度变送器和温度传感器在LNG储罐管道上的应用。

① 关键点

·双支输入。

·一体化防雷。

·双室外壳。

·套管强度计算。

·全通焊。

② 挑战

·低温, -162°C。

·高压,高流速。

·多雷雨天气。

③ 应用解决方案

      汽化系统、汽车装车区、码头接卸区及高压泵系统的LNG/NG管道温度测量要参与过程控制,因此必须选择精度高的插入式测量方案。高性能温度变送器提供精确可靠的温度测量,一体化防雷有效保护电子线路板免受雷击等瞬变电流的破坏。双室外壳将电子线路板与端子分隔在两个完全密闭的腔室中,保护电子线路板免受潮湿和腐蚀的侵蚀。温度传感器带棒材保护套管,对于高压高流速的介质,需进行套管强度计算,采取缩短插深、加粗套管等方式加强套管,确保其满足过程的需要,900#以上的法兰采用全通焊工艺提高套管的强度。

图片

      温度传感器实现单点温度测量,可用于各种应用环境,精度高,稳定性好。可提供棒材或管材套管,并与温度变送器一体化组装,实现开箱即用。为满足用户的安装需求,提供多种安装方式和外壳主要特点包括:

·铠装层内氧化镁完全填充,保证其良好的稳定性和响应时间。

·对测温元件与引线间的接点采用激光焊接技术,以形成纯连接、保持电路完整性并确保达到最高精度。

·传感器标定在 NIST 认证标定实验室中执行。

·可通过变送器匹配功能将系统精度提高75%。

·一个铠装层内可集成双支测温元件。

·可集成管材套管/棒材套管,实现一体化供货。

·可提供按照最新的PTC19.3-2010标准进行套管振动计算,从而优化套管在高压高流速环境中的应用。

·全通焊法兰套管是高压环境的最佳解决方案。

3)温度变送器和表面温度传感器在天然气长输管线上的应用。

① 关键点

·表面温度测量。

·阴极保护电流。

② 挑战

·管道埋在地下几米深。

·插入式测量不适用。

·不允许分流管道表面的阴极保护电流(阴极电流用于管道防腐)。

·精度要求高。

图片

③ 应用解决方案

      采用表面温度传感器,提供非插入式测量解决方案,3线RTD,6mm铠装,铠装末端配1/2”NPT活动卡套,与管道表面的焊墩进行过程连接,铠装长度以伸出

地面为宜,地面上的部分为普通电缆,用于连接到高性能温度变送器,铠装管外带聚烯烃材质的软管绝缘阴极保护电流。

由于传感器埋在地下,活动卡套根部部分的铠装管受力较大,建议在此处加一段保护管加以保护。

图片

1.7 温度套管的正确选型

      热电偶、热电阻、双金属温度计等热工仪表用于工业管道中进行温度的测量时,一般情况下都要配用温度计套管。因此,温度计套管的合理选用对于保证测温精度、响应速度及安全使用,起到了至关重要的作用。

      对于套管来讲,一般要求它既能迅速准确测温,又有足够的强度。但在实际中,提高测量质量,将要减弱强度。反之,增加强度,将会降低测量质量。

主要体现于下表:

图片

根据现场实际情况分析,导致保护套管损坏的原因

主要有以下几方面:

·流体冲击大,载荷过大,所产生的应力超过了材料本身的许用应力。

·套管自然频率和流体的激励频率接近,产生共振。

·套管本身存在加工缺陷,导致应力集中,造成断裂。

·由于腐蚀和磨损造成损坏。

      对于加工缺陷,可通过探伤的检测手段,有效避免有缺陷的套管应用于现场。由于腐蚀和磨损造成的损坏,可通过选用合理的保护管材质进行克服。因此,对温度计套管进行受力和振动核算是保证套管安全使用的关键。

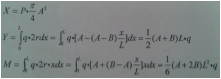
1.7.1 保护套管受力分析

测量元件安装在管壁上,相当于一个变截面的悬臂梁,该悬臂梁受到气体静压强(P)和均布压载(q)的联合作用。

测量元件套管的具体形状如下图:

图片

A=38mm B=22mm d=7mm L=76/102mm

测量元件根部受力如下图:

图片

由静力平衡即可得到根部截面上的轴力X、剪力Y和弯矩M分别为:

图片

1.7.2 振动核算对套管选型的指导作用

      随着目前工业现场中对保护套管的要求逐渐提高,“套管与设备同寿命”越来越成为业主和设计人员所追求的目标,根据现场实际情况分析,套管自然频率和流体的激励频率接近,产生共振,是导致保护套管损坏的最主要原因。因此,对温度计套管进行核算成为保证现场安全使用的基础工作。

1)激励频率fs

      插入介质中的保护套管受振动载荷后(即外来的简谐力),会产生无阻尼的强迫振动,此时保护套管被迫以外力频率振动。此外力频率即为卡门涡流产生的斯屈赫频率Strouhal(或称激励频率),用fs表示,其与介质流速成正比,与保护套管端部直径成反比。其计算公式

为:fs=0.22×V/d

其中:V为介质流速,单位为m/s;

d为套管插入管道内的端部直径,单位为m。

2)自然频率fn

      任何一个有质量的物体,均有其固有频率或称自然频率,保护套管也不例外。决定套管自然频率的因素包括:

①直径规格,包括外径和内径。

②长度,包括外形长度和内孔长度。

③弹性模量。

④密度。

⑤操作温度。

3)判断依据

      当套管的自然频率与激励频率之比接近1时,就会产生共振,从而损坏套管。因此,对保护套管进行振动强度的核算,即是求套管的自然频率与激励频率,并保证激励频率与自然频率相差较大,即二者之比满足:fs/fn≤0.8 或 fs/fn≥1.3考虑现场流速自开车到稳定运行,会有一个变化的过程,因此一般安全判定公式采取: fs/fn≤0.8。

4)修正措施

      如果经过计算,得出激励频率与自然频率之比大于0.8,则表明该套管的自然频率与系统的激励频率接近,会发生共振,需进行设计修正。根据决定自然频率和激励频率的各项因素,通常可采取如下措施:

① 加大套管端部直径d,以减小激励频率fs。

② 减小套管长度L,以提高套管的自然频率fn(见下说明一)。

③ 安装支撑环,起到加大阻尼和等效减小长度的作用,以提高套管自然频率(见下说明二)。

④ 增大套管直径规格D,以提高套管的自然频率fn。

⑤ 改变套管形式,提高套管的自然频率,锥形套管的自然频率大于直形套管。

⑥ 选用弹性模量更大的套管材质。

⑦ 套管安装位置的改变。

      说明一:关于套管插入管道净插深的选择,一般观点认为,为了保证测量的准确性,插入长度应是管道直径的1/2,或1/3~2/3。但是,在介质流速较大的情

况下,管道内的湍流层几乎充斥整个管道,即温场非常均匀,此时更趋合理的插入长度,不仅不会影响测量精度,同时可以保证安全。关于插入长度的选择,推荐参考美国API551标准。

      说明二:安装支撑环的方法,从实际应用上,的确有一点效果。但是从严谨的科学计算角度出发,不建议采用此形式,原因有:

·采用支撑环时,对其尺寸有较严格的要求,即其外径与安装管嘴的内径必须尽量接近,因此,此方法不仅加工要求高,而且增加了安装成本。

·在ASME PTC 19.3 TW-2010最新标准中不推荐采用支撑环与管道为刚性支撑的安装方式。如果在支撑环与管道间隙处填充黏性介质,则可取得较好的效果。但是这种方式的效果如何需要建立数学模型来评估,工程实施也极为困难。带有支撑的温度计套管同样会产生振动,而这种复杂结构的振动频率是一般技术无法计算的,其将带来无法预见的传统形状没有的其他问题。

笔者经过采用有限元和ASME PTC19.3等不同方法的计算,得出以下结论:

① 长度缩短,自然频率增加,抗振能力增强。

② 直径加大,自然频率增加,抗振能力增强。

③ 锥形套管的自然频率大于直形套管的自然频率,抗振能力增强。

1.7.3 套管的正确选型

1)套管制作工艺的选择

      套管制作有两种工艺:一为钢管焊接式,一为整体钻孔式。

      钢管焊接式为钢管一端封堵成形,套管一般壁较薄,内孔较大,因此抗压能力不高,最多只能到6.4MPa。如果套管安装在管道上,即使操作压力很小,但由于流体流速较大,套管也会在冲击力的振动下发生断裂损坏,比如循环水泵出口位置的套管,如果选择不当,极易发生损坏,甚至事故。同时,因钢管内孔均较大,因此套管内部存在更多的导热间隔,造成测量反应速度慢。

整体钻孔式为实心棒料钻孔成形,套管内孔小,与测量元件紧密配合,因此,反应速度快,抗振效果好。

且抗压能力高,可达到30MPa以上。

      根据上述两种工艺的优缺点,对于套管工艺,推荐选用整体钻孔套管。

目前,国内最先进的钻孔技术采用单端深盲孔整体钻孔工艺,套管内孔直径仅为Φ6.5mm,与国际标准的Φ6mm测量元件实现完好的配合。

2)套管形式的选择

      在相同长度下,锥形套管比直形套管具有更高的自然频率,因此抗流体冲击能力和抗振能力更强。并且因锥形套管的前端直径比直形套管的前端直径更细,因此保证了更快的反应速度。

根据上述两点阐述,对于套管形式,推荐选用锥形套管,且大小端直径差不小于6mm。

3)套管直径的选择

      根据压力等级的不同, 套管直径也应合理选用,如用于中低压场合的套管直径可选用大小端直径Φ25/19mm,用于高压场合的套管直径可选用大小端直径Φ32/21mm等。

4)套管安装方式的选择

      套管的安装方式有法兰、螺纹、焊接3种。

      焊接式一般是根据现场需要而定,对于法兰和螺纹两种方式,推荐使用法兰安装,原因有以下几点:

·对于压力等级较高的场合,螺纹安装不适宜,只能用法兰安装。

·对于腐蚀性场合,螺纹安装易因腐蚀而无法拆卸,此时必须选择法兰安装。

·在设备上使用,一般选用法兰安装。

·对于温度高于230℃的场合,螺纹易发生高温间隙变形,所以应选用法兰安装。

综合上述几点,在螺纹和法兰之间,推荐选用法兰安装。

2 对中国市场的展望和国内企业的目标

      从各领域的设计院所掌握的项目信息来看,未来几年,在建项目中基本还是以煤化工、石油化工、核电站等为主,因此对于温度传感器的需求量也将非常可观。

而在温度传感器的功能要求方面,智能化的广泛采用将更为普及。预计未来几年,一体化温度变送器占温度传感器使用总量的百分比将由原来的不足10%提升至30%以上,并且随着多点温度传感器应用的普及,将直接导致所配温度变送器的比例会随之大幅增加。从另一方面讲,在特殊领域中的温度传感器,原装进口产品被国产产品逐渐取代,即进口产品国产化将必然是未来传感器的发展方向。这对于国内企业俨然是一个广阔的、充满机遇的前景,更是一个必须用自身的努力和创新的意识去争取的舞台。

      在现阶段,企业需要做的是立足于自身在不同领域所积累的经验的原有基础之上,改进加创新。具体讲是,在常规产品上,力争达到精度高、长周期运行、稳定可靠的基本要求;在特殊产品上,科学创新,进而取代进口产品;在企业自身上,提升生产装备和管理水平,既要确保产品做专做精,符合并取得国际上对安全及性能的各项认证,又要让高品质的产品具有有竞争力的价格,具有为中国在国外投资项目中配套出口或直接出口产品的能力与条件,从而扩大中国制造的温度传感器在国际上的影响。

关注微信公众号

服务时间:周一至周五  9:00-24:00

联系电话:023-68861290/023-68860288

企业邮箱:cqcmyb5827@126.com

企业地址:重庆市北碚区云清路99号12-9

联系我们/CONTACT US

在线表单提交
更多
您的姓名
联系方式
备注内容

Copyright 重庆市诚铭精密仪器仪表有限公司 ALL Rights Reserved.    

在线留言/ONLINE MESSAGE

我们会在收到您的留言后24小时内对您进行回复,感谢您的反馈!

欢迎采购洽谈,我们将竭诚为您服务!

  • 电话直呼

    • 023-68860288
    • 售前咨询 :
    • 售前客服 :
  • 在线客服

seo seo